rexresearch.com


Andrea ROSSI

E-Cat Cold Fusion Reactor


http://rationalwiki.org/w/index.php?title=Energy_Catalyzer&oldid=1052144

Energy Catalyzer
 
The Energy Catalyzer is a purported cold fusion reactor that is claimed to work by adding hydrogen to nickel to make copper, a reaction so ridiculously unfeasible it doesn't even happen in supernova explosions.[1]

It was created by two Italians, Andrea Rossi and Sergio Focardi. [2] They claim that their 400W input creates 12,400W of output heat.[3] In other words, a 31:1 ratio. Subsequent experiments which took Internet criticism into account produced less and less output.

Their claims raise a number of red flags, starting with the fact that they chose to announce their discovery at a press conference without publishing anything in peer reviewed journals. They tried to get published, but were rejected by serious journals. Their initial patent application was rejected. [4]

Rossi's 2011 demonstrations[5] showed neither measurable gamma nor neutron radiation[6] and there is no proof for the creation of non-natural isotope ratios in the alleged fusion products. Independent tests which might have proven a fusion process have so far failed.

Rossi claimed a 1 MW plant would be in operation by October 2011. His October 28th test put out 470kW! ... though the "starter" generator attached to the device (throughout the test) looked to observers - even supporters - rather like it could generate about 500kW.[7]

Rossi's credentials

Rossi claims a second "Laurea" title (common term for a final degree at an Italian University with an obligatory doctorate) in "Ingegneria Chimica" (chemical engineering) at Kensington University in California, a known diploma mill which was shut down by court order in 2003.[8]
Rossi has previously been convicted of illegal trafficking of waste materials and was arrested for gold smuggling and money laundering.

External links

Focardi-Rossi Energy-Catalyzer a very extensive article at Psiram
http://psiram.com/en/index.php?title=Focardi-Rossi_Energy-Catalyzer
Energy Catalyzer
article at Wikipedia
Episode #289
of the Skeptics Guide to the Universe
Cold Fusion Claims
, thread at the JREF Forum

Footnotes
  1. http://scienceblogs.com/startswithabang/2011/12/the_nuclear_physics_of_why_we.php
  2. Directory:Andrea A. Rossi Cold Fusion Generator at PESWiki
  3. More Cold Fusion, Steven Novella, NeuroLogica Blog, 21 January 2011
  4. International patent application PCT/IT2008/000532
  5. Physorg
  6. http://www.psiram.com/doc/Levi%2C_Giuseppe_-_Report_on_heat_production_during_preliminary_tests_on_the_Rossi_Ni-H_reactor_%282010-2011%29.004810.pdf
  7. http://www.forbes.com/sites/markgibbs/2011/10/30/believing-in-cold-fusion-and-the-e-cat/2/
  8. Court order by the State of Hawaii against Kensington University Inc.


Defkalion - Hyperion Spec Sheet ( Nov. 2011 )



Videos

http://www.youtube.com/watch?v=z-0WvK2b7dU
http://www.youtube.com/watch?v=u-Ru1eAymv

http://www.youtube.com/watch?v=dmHZrhTQhUc

http://www.youtube.com/user/efagroup2010



Links

http://leonardocorp1996.com
http://www.defkalion-energy.com
http://www.eonsrl.com
http://www.journal-of-nuclear-physics.com/
http://RossiColdFusion.com
http://groups.yahoo.com/group/H-Ni_Fusion

http://e-catalyzer.se -- E-Cat forum
http://e-cat.us/ -- E-Cat forum
http://www.EnergeticAmbiente.it -- E-Cat forum

http://www.e-catworld.com/

http://ecatnow.com/

http://ecatfusion.com/

http://ecatreport.com/

http://ecatnews.com/

http://coldfusion3.com/

http://energycatalyzer3.com/

http://ecatpoll.com/







A New Energy Source from Nuclear Fusion [ PDF ]

by
S. Focardi & A. Rossi

A process  ( International patent WO 2009/125444 ) capable of producing large amounts of energy by a nuclear fusion process between nickel and hydrogen, occurring below 1000 K, is described. Experimental values of the ratios between output and input energies obtained in a certain number of experiments are reported. The occurrence of the effect is justified on the basis of existing experimental and theoretical results. Measurements performed during the experiments allow to exclude neutron and gamma ray emissions.



http://www.popsci.com/science/article/2011-01/italian-scientists-claim-dubious-cold-fusion-breakthrough#comment-98335
01.20.2011

Italian Scientists Claim Dubious Cold Fusion Breakthrough

by
Clay Dillow

Rossi and Focardi's Cold Fusion Device -- The future of energy involves tin foil and Dell laptops.




Good science is always rooted in good data, but the most entertaining science is the stuff that transcends the need for data by rooting itself fantastical claims and a rejection of the idea that data is even necessary. So naturally it’s a thrill to learn that two Italian scientists claim to have successfully developed a cold fusion reactor that produces 12,400 watts of heat power per 400 watts of input. Not only that, but they’ll be commercially available in just three months. Maybe.

Cold fusion is a tricky business — some say a theoretically implausible business — and exactly zero of the previous claims of successful cold fusion have proven legitimate (remember when North Korea developed cold fusion ? [http://www.popsci.com/technology/article/2010-05/north-korea-claims-nuclear-fusion-success-and-they-have-state-media-account-prove-it]

Hypothetically (and broadly) speaking, the process involveS fusing two smaller atomic nuclei together into a larger nucleus, a process that releases massive amounts of energy. If harnessed, cold fusion could provide cheap and nearly limitless energy with no radioactive byproduct or massive carbon emissions.

Andrea Rossi and Sergio Focardi claim to have done exactly that. Their reactor, they claim, fuses atomic nuclei of nickel and hydrogen using about 1,000 watts of electricity which, after a few minutes, is reduced to an input of just 400 watts. This reaction purportedly can turn 292 grams of 68 degree water to turbine-turning steam – a process that would normally require 12,400 watts of electricity, netting them a power gain of about 12,000 watts. They say that commercially-scaled their process could generate eight units of output per unit of input and would cost roughly one penny per kilowatt-hour, drastically cheaper than your average coal plant.

The problem is, they haven’t provided any details on how the process works. After their paper was rejected by several peer reviewed scientific journals, it was published in the Journal of Nuclear Physics—an online journal apparently founded by Rossi and Focardi. Further, they say they can’t account for how the old fusion is triggered, fostering deep skepticism from others in the scientific community.

Based on this lack of even a theoretical basis for the device’s function, a patent application was rejected. Their credibility isn’t helped by the fact that Rossi apparently has something of a rap sheet, which allegedly includes illegally importing gold and tax fraud.

But the duo does have something going for them in the fact that they’ve demonstrated their device publicly. In a press conference last week they fired up their reactor and, if the video evidence and reports are to be believed, generated some power. Whether or not they achieved cold fusion is unclear, but other physicists present confirmed that electricity was produced.

It’s anyone’s guess what’s really going on with this bizarre story, but should it turn out Rossi and Focardi have achieved true cold fusion you’ll hear more about it here — and everywhere else.



Pure Energy Systems News
January 17, 2011
Excerpts:

Andrea A. Rossi : Cold Fusion Generator (E-Cat)

Compiled by
Sterling Allen w/ Hank Mills


Eng. Andrea A. Rossi and Professor Sergio Focardi of the University of Bologna (one of the oldest universities in the world), have announced to the world that they have a col fusion device capable of producing more than 10 kilowatts of heat power, while only consuming a fraction of that. On January 14, 2011, they gave the Worlds' first public demonstration of a nickel-hydrogen fusion reactor capable of producing a few kilowatts of thermal energy. At its peak, it is capable of enerating 15,000 watts with just 400 watts input required. In a following test the same output was achieved but with only 80 watts of continual input.
They don't always use the term "cold fusion" do describe the process, but often refer to it as an amplifier or catalyzer process.

Focardi states: "Experimentally, we obtained copper; and we believe that its appearance is due to the fusion of atomic uclei of nickel and hydrogen, the ingredients that feed our reactor. Since hydrogen and nickel 'weigh' with less, copper must have released a lot of energy, since 'nothing is created or destroyed.' Indeed, the 'Missing Mass' has been transformed intogy, which we have measured: it is in the order of a few kilowatts, two hundred times the energy that was the beginning of the reaction."

They also claim to be going into production, with the first units expected to ship by the second half of October of this year, with mass production commencing by the end of 2011. The first units will be used to build a one megawatt plant in Greece. This one megawatt plant will power a factory that will produce 300,000 ten-kilowatt units a year.

This would become the world's first commercially-ready "cold fusion" device. Licensees are mentioned, with contracts in the USA and in Europe. Mass production should escalate in 2-3 years. Presently, Rossi says they are manufacturing a 1 megawatt plant composed of 125 modules. These modules should begin shipping by the end of October. On January 31st, 2011, Rossi wrote: "The cost to produce the catalyzer is 1 cent per MWh generated; the life expectancy is 20 years; the cost impact is between 1 and 1.5 cents per MWh."

In describing the operation of the device, he said: "To start up the reactor you have just to turn on a switch. The reactor works with enormous margins of safety, so there is no need of a particular skill. Just follow the instructions. The refueling is every 6 months and will be made by our dealers."

According to Rossi, the demonstrated device shown on January 14, 2011 is their industrial product that is claimed to be reliable and safe. In normal operation it would produce 8 units of output for every unit of input. Higher levels of output are possible, but can be dangerous. They will soon start serial production of their modules. Combining the modules in series and parallel arrays it is possible to reach every limit of power. The modules are designed to be connected in series and parallels.

Rossi also says that they have had one reactor that has run continually for two years, providing heat for a factory. It reduced the electric bill by 90%. Also, the reactors can self sustain by turning off the input, but they prefer to have an input. The device will be scheduled for maintenance every six months. You control it "just as you turn on and off your television set."

More than two thousand prototypes were built and destroyed in refining the design and learning how to control and scale up the reaction.

Convinced they have already adequately proven this to the necessary parties, they are not in a hurry to give demonstrations to curious scientists. On January 21, 2011, Rossi wrote: "Yes there will be a Scientist talking about us, no demo anyway: no more demos before the start up of the 1 MW plant."

Is the Rossi energy amplifier the first pico-chemical reactor? - The nuclear signatures that can be expected when contacting hydrogen with nickel, were derived from thermal results recently obtained (Rossi energy amplifier), using the type of reaction paths proposed as the explanation of the energy produced. The consequences of proton or neutron capture have been studied. (July 18th, 2010)

How it Works

The Energy Catalyzer works by placing nano to micro sized particles of nickel powder in a reactor along with pressurized hydrogen gas and special undisclosed (for proprietary reasons) catalysts. When the contents of the reactor is heated (using a series of resistors in the reactor) to approximately 400 to 500 degrees Celsius, nuclear reactions start taking place. The strength of the reaction can be changed by varying the pressure of the hydrogen in the reactor. The output energy can be up to 400 times the input energy.

No precious metals or radioactive substances is placed in the reactor. After the reactor is turned off the reactor can be opened and no radiation can be detected. The process transmutes nickel into copper and trace amounts of other elements such as zinc.

The nickel has also apparently gone through one or more special processes. A few of these special processes are speculated to be:

1) Baking and cleaning to remove oxidation that could "clog" up the reactive sites on the nickel particles.

2) Bathed in acid or another compound to make the particles more porous so they can absorb more hydrogen.

3) Embedded in a membrane or ceramic structure.

4) Loaded with hydrogen via electrolysis or some other method.

Rossi's Journal of Nuclear Physics blog shows that scientists are posting and linking speculation that "hydrinos" (of Blacklight Power fame) or shrunken hydrogen atoms may be involved in this cold fusion and process and their formation may be the source of most of the energy released.

Attributes

Some other technical attributes of the process include:

Regular Ni is used even though other isotopes may provide better efficiency. They think all the isotopes work to produce the effect.

For some unknown reason, not all of the Ni in the cell reacts with the hydrogen to produce energy. The percentage of the Ni that reacts is very low.

Even though the percentage of the Ni that reacts with hydrogen is very low one kilogram of nickel powder should deliver 10 kW of energy for 10,000 hours. The consumption rate of hydrogen and nickel are 0.1 g of Ni and 0.01 g of H to produce 10 kWh/h. Note that for every picogram of nickel that is actually fused or reacts to the hydrogen, much more must be added. Not all the nickel added will react. So if you add 0.1g of Ni to produce 10kWh/h only a small fraction of that Ni will actually be utilized. When the device shuts off due to running out of fuel most of the .1g could be remaining.

Tungsten is in no way used. However, "other elements" are used.

Radiation is produced. However in the device demonstrated which is made for commercial use no radiation escapes due to lead shielding. The fact that radiation is produced is proof of a nuclear reaction.

In the demonstration device for every unit of input there was approximately 37 units of output.

A small percentage of the nickel is transmuted into copper. The amount of copper found in the cell is far greater than the impurities in the nickel powder. None of this copper is "unstable."

There is no radioactivity in the cell after it is turned off. No nuclear "waste."

All of the information needed to successfully replicate a self sustaining system is in the patent application (which is being held proprietary presently).

The power density for thermal energy only is 5 liters per kilowatt.

The hydrogen has to be all hydrogen with no deuterium or heavy hydrogen. Apparently, any heavy hydrogen stops the reaction.

This current system never goes below 6 times more energy out than in. During the test it produced 20 times more energy out than in. In the lab they have done similar tests and obtained 400 times more out than in, but it produced explosions.

Quote from Ramos on his website:

"Dear Pierre,

Thank you for your important questions, here are the answers:

1- the Ni powder I utilized were pure Ni, no copper . At the end of the operations in the reactor the percentage of copper was integrally bound to the amount of energy produced. A charge which has worked for 6 months, 24 hours per day, at the end had a percentage of Cu superior to 30%

2- About the Ni isotopes: the isotopes after the operations were substantially changed in percentage. We are preparing a campaign of analysys with a Secondary Ions Mass Spectrometer at the University of Padua (Italy), at the end of which the data will be published on the Journal Of Nuclear Physics.

Warm Regards,

Andrea

Costs

Rossi estimates that the cost of energy made with this system will be below 1 cent/kWh, in case of electric power made by means of a Carnot cycle, and below 1 cent/4,000 M J in case of thermal power production for heating purposes. That is several times cheaper than energy from fossil fuel sources such as coal or natural gas.



http://pureenergysystems.com/

Rossi's Self Sustaining One Megawatt Reactor [ Excerpts ]

by
Hank Mills

A Self Sustaining One Megawatt Reactor

In most of the tests performed on the E-Cat (Energy Catalyzer), a constant input of energy has been utilized. The reason a constant input has been used up to this point, is due to the tendency of the output of the system to increase rapidly when in a self sustaining mode. If the output cannot be reduced, the system can go out of control.

Andrea Rossi has stated many times in the past a self sustaining system is dangerous, and there is a chance of explosions. He actually indicated that during stress testing of systems he has witnessed dozens of explosions. In one specific experiment Rossi has mentioned, an E-Cat was put into self sustain mode, but had to be turned off after the output exceeded the maximum safe level of 10 kilowatts (in the form of heat). However, now he claims that these problems are being resolved, and that the one megawatt reactor will operate in a self sustaining mode with no input power...

Confirmation the Catalyst and Fuel is Super Cheap

There have been thousands of successful cold fusion experiments in the past, but the amount of power output was so small they were not commercially viable. This is not the case with the E-Cat, because it produces enormous amounts of energy. Three critical factors make the E-Cat technology produce enough output power to make it ready for the marketplace. Without them, the E-Cat technology would be no different than any other cold fusion system.

- First, the nickel powder is somehow enriched so that it contains more of two specific isotopes. These are N-62 and N-64. These two isotopes are the ones that participate in the most fusion reactions. 

- Secondly, the nickel powder is processed in such a way that tubercles or protrusions form on it. After this processing, the nickel may resemble filamentary nickel. This may allow for more reaction sites where the hydrogen can fuse with the nickel. 

- Third, a catalyst is used that helps to break apart the molecular hydrogen into atomic hydrogen. We also know that it is not mixed in with the nickel powder, but is placed in the reactor afterwards. There is a lot of speculation about what this catalyst or catalysts might be. Some people speculate it might be a form of carbon, such as graphite. 

In the past, Rossi has stated that the processing of the nickel powder only increased the cost of it by ten percent. Now, he states that the ten percent figure includes the cost of the catalyst. This confirms that the catalyst is super cheap.

The fuel cost of this technology seems to be very low. It really does seem that the price of enough fuel to power your home for six months may only be a few dollars. Of course at first there will be a markup on the fuel until it starts to be mass manufactured, but even if it is initially sold for ten times what it cost to manufacture it will still be very low cost...



http://blog.hasslberger.com/2011/02/italian_engineer_announces_com.html

Italian Engineer Announces Cold Fusion Breakthrough

Rossi has been into alternative energy for many years. It was in the 1970s and 1980s that Rossi was busy building garbage disposal facilities that burned household garbage and utilized the recovered heat. During that period, he found out how to not only recover heat from burning garbage but also to turn garbage into fuel. His company, Petroldragon, had a valid garbage-to-fuel technology that could turn household waste into combustible oil, coal and gas. Production had started and reached some 20 tons of fuel oil a day in 1989, when corrupt bureaucrats started to attack.

The first step was to tax his process just as if he was producing alcohol, making the resulting fuel ridiculously expensive. When he opposed the unjust tax, the next step was a challenge that proved more difficult: the bureaucrats asserted that the garbage stocked and ready to be transformed in his production facilities wasn't raw material for his process but was an illegal and fraudulent attempt to hide and "treat toxic garbage" for which he had no license.

Rossi was imprisoned on trumped up eco-charges for trying to produce an ecologically sustainable fuel that did not come from petroleum deposits, and after one of his companies was forced into bankruptcy, he was again imprisoned for not paying his creditors ... great government support for alternative energy technologies, one might say. That whole sad story is well documented on Rossi's website:

http://ingandrearossi.com - Rossi's website gives his side of the saga of waste-to-energy problem. The beginning, the media boom around Petroldragon, plans for the future.

http://it.wikipedia.org/wiki/Petroldragon - Rossi was involved in a waste to energy project, and ended up serving some jail time in 1995 for conspiracy to engage in tax fraud for his involvement in a business that was trading precious materials between Switzerland and Italy. Appeared to be more like suppression than deserved punishment.

New Energy Times; January 18, 2011 -- Rossi and Focardi LENR Device: Celani Report - New Energy Times has posted a first-person report from Francesco Celani, a physicist with the Instituto Nazionale di Fisica Nucleare, INFN (National Institute of Nuclear Physics). "The energy gain is a factor of 15-20, which is really large!"

LENR-CANR.org; Jan. 18, 2011 -- Brief Technical Description of the Leonardo Corporation, University of Bologna, and INFN Scientific Demonstration of the Andrea Rossi ECat (Energy Catalyzer) Boiler - 14 January 2011:1600-1800, Bologna, Italy.

Cold Fusion Now; June 29, 2011 --  Interviews with Rossi and Xanthoulis - The interview with Alexandros Xanthoulis revealed some new information. Among the highlights: The 5 to 30 kW modules are all the same size, the only difference being the pressure, so they will cost the same. The 1 MW reactor is now being tested, and DGT is working on producing a 3 MW reactor.

Corriere della Sera.it; March, 1995 -- "The Italian succeeded cold fusion"



http://coldfusionnow.wordpress.com/2011/06/22/a-nobel-laureate-speaks-out-on-the-energy-catalyzer/

A Nobel Laureate Speaks Out On The Energy Catalyzer

Defkalion has had units (which they call Hyperions) in continuous operation for months. When their testing is finished, the results will be published.

Testing of Hyperion units by Greek government officials took place the first ten days of July. These tests were to determine the safety and performance of the units. The protocols used and the results of these tests should be published, "very soon."

Defkalion has tested self sustaining systems. In these systems, once the device is brought up to the proper temperature, the input is cut off and heat continues to be produced.

At this moment, the highest temperature of steam produced by a Hyperion is 414C. This is not because steam cannot be made hotter, but because higher temperatures can exceed the specifications of components.

They have never performed a test in which the output of a Hyperion was less than 19 times the input. Usually, it is in the range of 20 to 30 times the input.

Although a one megawatt unit will be demonstrated in October, their highest power device will produce 3.45 megawatts of thermal energy and fit inside a 20 foot container.

The lead shielding required to block gamma rays has been reduced to only 3 millimeters.

The maximum safe output from an E-Cat with a reactor vessel only 50cc in volume is 10 kilowatts. 

He has finished constructing all the reactors for the first one megawatt plant. Now they are being tested with a complex protocol.

The first application in the USA for the E-Cat will probably be "feedwater" heaters, that heat the water going into power plants. By pre-heating the water, less coal or fossil fuels would need to be burned.

EV World and E-Cat Report Interviews

Although Andrea Rossi frequently states that he is not going to do any additional interviews until the one megawatt plant is opened in October, more interviews continue to appear on the internet. One of these was an audio interview on the EV World podcast. In this interview, he shared some interesting information about how his system works, and even compared the pressure and temperatures to that of a White Dwarf star :

"Yes. To make it extremely simple, what happens is that nickel has a particularity that protons spread from its surface with extreme efficiency. And very close to the nucleus, even if repelled by the so called coulomb barrier forces. And when we in the reactor inject the hydrogen the protons of hydrogen at high pressures and temperatures, will go pretty close to the nucleus of the nickel. And at those points, we have nuclear effects that produce gamma rays which add more energy and using a particular system to increase the pressure arriving to extremely high pressures... similar to ones that happen to be in the White Dwarf stars. In those situations, it is possible that physically that so called Gamow Factor, which is a probabilistic calculation of the coulomb repelling forces, is overcome, and at that point enough energy is produced to make it worth to be recorded."

Andrea Rossi also gave an interview with a representative from the E-Cat Report website. Many interesting comments were made. The following comment was particularly interesting. Please realize the following comment was paraphrased by E-Cat Report. 

"The management team of both Defkalion and AmpEnergo will meet on the 14th July (2011) together with NASA for an important discussion regarding the research and business development around the E-Cat. After the initial meeting with NASA, Defkalion GT and Ampenergo will sit down and develop a joint program for the introduction of the E-Cat as a main energy source to the world."...

Clues About The Catalysts

Already from the beginning, Rossi looked at the powder form of the fuel because he wanted to increase the surface area of the Nickel so that more entrance points per volume unit for the hydrogen gas could occur.

Andrea Rossi stresses that, although one might first think "the finer the better" because the finer the powder the more surface area per volume you get, this is not the case; because in order to reach useful reaction rates with hydrogen, the powder needs to processed in a way that leads to amplified tubercles on the surface.

The tubercles are essential in order for the reaction rate to reach levels high enough for the implied total power output per volume or mass to reach orders of magnitude kW/kg - this level of power density is required for any useful application of the process.

Rossi tells that he worked every waking hour for six months straight, trying dozens of combinations to find the optimal powder size for the Energy Catalyzer, or E-Cat. He further stresses that specific data about the final optimal grain size cannot be revealed, but can tell us that the most efficient grain size is more in the micrometer range rather than the nanometer range.

Andrea Rossi on the secret catalyst

In most physics related forums on the internet, physicists are speculating at this point about what the function of the secret catalyst or "secret sauce" really is. An earlier popular speculation was that the "secret catalyst" was used to separate the Hydrogen molecules into Hydrogen atoms, which are then more easily absorbed by the Nickel lattice.

Today we are proud to be able to add a new piece of the puzzle to that discussion by questioning whether the substance is used to amplify the prominent tubercles on the surface of the grains. This speculation makes sense since we have been told that both surface area and surface texture has a big impact on the reaction frequency.

If the tubercles on the surface did not affect the reaction itself they would then only affect the loading time of the Hydrogen into the Nickel lattice and not the reaction rate inside the lattice. For all Ecatreport.com knows from what Rossi has told us, that doesn't seem to be the case and a qualified guess would be that the reaction is most intense at the surface of the powder.

Andrea Rossi is still working on several elements and substances to improve the catalysts for the Hydrogen-Nickel reaction, and he has been doing so for the past four, five years. The most effective catalyst found so far, was at one stage abandoned in the search for an even more effective one, but was later reinstated because, overall, it proved to be the most effective one.

It is interesting to hear that Rossi is sharing more information about the nickel powder and the catalysts. For a very long time he refused to discuss the catalysts at all, except to say they are not radioactive, cheap, and commonly available. Maybe more information about the catalysts will be revealed in the coming months.

Carbon as a Possible Catalyst


There has been a great deal of speculation on the internet about the identities of the catalysts. One good place to read such speculation is on the Vortex-L mailing list. Although there are many guesses, no one appears to really know without a doubt the identities of the catalysts. One possibility is that one of the catalysts is a form of carbon. Here is a post made on Vortex-L about carbon being a possible catalyst... { not included here ]

Defkalion responded with the following.

We used this presentation template, that you can download from Microsoft template site, because of the colors. The chemical formula in the background has nothing to do with our technology. We use benzene (βενζίνη)-gaz or gasoline (or what ever you call it) only to run our company cars. 

Thank you for your interest and remark.



http://coldfusionnow.wordpress.com/
June 28, 2011

Krivit’s second report: Rossi evades scientific debate

by

Ivy Matt

For those who were wondering whether New Energy Times editor Steven Krivit was willing to burn his bridges with Andrea Rossi, the answer is an apparent “yes”. Krivit’s first report provoked a heated response from Rossi, who accused him of industrial espionage on behalf of an Italian competitor. Krivit’s second report, recently released, will likely do nothing to assuage Rossi’s feelings.

Krivit’s overall judgment on the E-Cat is that there could be “something real” about it, but that the “claimed quantities of excess heat have been exaggerated, possibly by as much as two orders of magnitude.” Krivit does not explain this claim in detail in this particular report, however, deferring such technical details until a later report, but he does summarize his technical concerns with the testing of Rossi’s device:

1. Analytical error: possible mathematical error based on the assumptions of the energy capacity of the steam.

2. Procedural error: possible use of an incorrect measurement instrument.

3. Analytical error: possible failure to correctly interpret a signal from the experiment that is clearly visible using only the naked eye that was apparent during the experiments.

Instead, Krivit’s second report is mostly devoted to pointing out Rossi’s lack of scientific qualifications and what Krivit regards as his misuse of those who have such qualifications to bolster his own credibility, while at the same time attempting to evade the scientific debate that naturally arises as a result of his claims. In particular, Krivit is frustrated by the unwillingness or inability of the scientists closest to Rossi to provide specific details on the results obtained from the E-Cat tests. Rossi, on the other hand, keeps himself busy responding to questions on his website, the Journal of Nuclear Physics, but either avoids or gives evasive answers to questions about results or experimental design, often simply promising that he will have a 1 MW reactor available in October, and telling the questioners they will just have to wait till then. That is his privilege as a businessman and a private citizen, but Krivit expects more from the scientists whose expertise he has sought, and who lend him their support.

If Rossi thought Krivit was working on behalf of an “Italian competitor” before, he will certainly find confirmation for that suspicion in this report. First, Krivit notes the similarity between Rossi’s device and that developed by Francesco Piantelli (a colleague of Rossi’s partner Sergio Focardi) in the ’90s. (The primary differences are that the E-Cat allegedly uses a catalyst of some sort, known only to  Rossi, and that it uses nickel in nanopowder form. Piantelli used nickel rods in most of his experiments, although he did mention the possibility of using “metallic powder” in his 1995 patent application.) Second, Krivit reports on the work of three researchers in Naples who have shown him an experiment — and scientific data — he regards as promising. Whether these researchers have any connection to Piantelli — or, indeed, to cold fusion research — is unknown, but Krivit promises to report on their findings after he is finished with his reports on the E-Cat.



http://www.journal-of-nuclear-physics.com/files/Is%20the%20Rossi%20energy%20amplifier%20the%20first%20pico-chemical%20reactor.pdf

Is the Rossi energy amplifier the first pico-chemical reactor?

 by
Jacques Dufour
CNAM Laboratoire des sciences nucléaires, 2 rue Conté 75003 Paris France

Abstract

The nuclear signatures that can be expected when contacting hydrogen with nickel, were derived from thermal results recently obtained (Rossi energy amplifier), using the type of reaction paths proposed as the explanation of the energy produced. The consequences of proton or neutron capture have been studied. It was shown that these consequences are not in line with the experimental observations. A novel tentative explanation is thus described. Should this explanation be true, it is proposed to call pico-chemistry the novel field thus opened.

Introduction

In a recent paper [1], it was shown that, if the reaction path occurring in a Rossi energy amplifier [2], was mainly proton capture, the lead thickness required to completely suppress the gamma flux produced, would be in the order of tens of cm. The lead screen used (2 cm) should thus have resulted in a lethal gamma dose emitted in the surroundings. Another explanation, different from proton or neutron capture is thus to be found. In [3], the concept of pico-chemistry was presented, that could explain the generation of photons in the range of tens of keV, thus compatible with the lead screening used in the energy amplifier.

In chemistry, compounds are formed by the binding of the components through their outer electronic shells. Ionic, metallic and covalent hydrides of metals are known. Thus, Nickel hydride NiH can be viewed as an hydrogen and a nickel atoms maintained at a few angstrom distance, through a metallic bound.

In contrast, in a pico-nickel hydride, a (shrunken) hydrogen atom would be inside the electronic cortege of the Nickel and bound to the nickel at close proximity of its nucleus. In [3] a tentative explanation was given, of the possibility of such an exotic hydride. Another approach is presented in this paper.
 
Possible existence of a small hydrogen-like dipole and reaction with a nickel nucleus

Various concepts of a shrunken hydrogen atom have been presented. In [4], the possibility of having bound states of a proton and an electron with lower radius and higher ionization energy than the usual Bohr values is claimed. These bound states were called hydrinos and attributed to the possibility of having fractional values for the main quantum number of the hydrogen atom. In [5] a metastable state is justified by the electron spin/proton nuclear spin interaction being first order in the environment of a lattice (it is third order in vacuum). This state was called hydrex and proposed as an explanation for fission-like reaction occurring in metallic lattices. Finally, the interaction of a proton and an electron could result in a virtual neutron [6], that could be captured by and react with the Ni nucleus.

In this paper, the evolution of a virtual neutron like association between a proton and an electron, in contact with an atom is examined.

At the surface of various materials (metals, metal oxides, metal hydrides…), electrons are more or less free to leave the solid (work function). In an hydrogen environment, it is conceivable that from time to time a virtual neutron can be formed between such an electron and a proton [6], with a deficit of energy of 0.781 MeV:
 


The life time of this virtual neutron is limited by the Heisenberg uncertainty relation ∆t∆E>h, which sets the maximum distance d it can travel:



The maximum of d is thus some 250 fm and the virtual neutron, formed at the periphery of an atom has hardly any chance to reach the close vicinity of the nucleus of this atom. It can nevertheless sufficiently penetrate the outer electronic cortege of the atom so as to feel the (screened) positive potential of the nucleus of the atom, when reverting to a proton and an electron. An electrical dipole is thus formed, which is attracted by the nucleus of the atom. One can wonder if the resulting effect of the action of the positive charge of the nucleus will ultimately end up in the destruction of the dipole, the proton being rejected to infinite and the electron bound to the nucleus. This would certainly be the case if the nucleus where not surrounded by its electronic cortege (Z time ionized nucleus). In the case of an atom with its electrons, an equilibrium position of the dipole could be reached, at close vicinity of the nucleus. To demonstrate the possibility of such a bound state, the complete Hamiltonian of the system would have to be solved, which is not possible. A semi-empirical approach has thus been developed, to reach the orders of magnitude of the characteristics of such a dipole and its interactions with an atom A. This could be used as a guide when looking at the experimental results expected in case of an excess energy measured in the system hydrogen/nickel (energy of radiations emitted, characteristics of the by-products).

In order to distinguish this concept of shrunken hydrogen atom from others, it is proposed to call it Hypole (Deupole and Tripole being the 2 other isotopes).
 
Semi empiric description of the Hypole

Figure 1 gives a description of the Hypole, which is proposed to be written H¯Ni when the host atom A is Nickel and its (possible) bound state with the Ni atom, a Nickel pico-hydride NiH¯Ni.



d is the distance between the centers of gravity of positive and negative charges in the hypole.
r is the distance between the proton and the electron.
R is the distance between the center of the nucleus of the atom A and the center of gravity of the hypole.
Z is the charge number of the atom A
The potential that the dipole proton/electron feels from A is at first order (when d/R is small):



During its attraction by A, the spatial extension of the dipole is limited by the repulsion of the inner layers of the electrons of A, resulting in a shrinking of this hydrogen-like object and in a limitation of its polarization. In order to get first guesstimated values of the size and energy of the hypole and of the bound state it might form with A, following assumptions are made:

1. The action of the electronic cortege of A (especially the s electrons of A) on the dipole and the presence at short distance of the Z protons of A are equivalent to the attraction of the electron by the proton in the hypole being multiplied by a factor K>1. Hence, the (pseudo) coulomb interaction in the dipole is:



2. d is small and proportional to R. Hence, d=kR, with k small.

3. The electron of the hypole H¯A cannot be found in the nucleus of the atom A (competition with the s electrons of A). Hence, r≤R
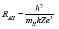
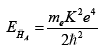
With these assumptions, the Bohr radius of H¯A would be:



and its energy of formation:



In a similar way, the Bohr radius of AH¯A would be:



and its energy of formation:



with mH being the mass of the hydrogen atom.

Under assumption 3, the smallest possible bound object AH¯A is obtained for



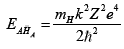
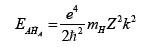
In that case meK=mHKZ. Expressing the energies as a function of the unknown k, one gets:



and



finally yielding the following value for the total energy given by the hypole formation followed by its binding with A:


 
The bulk of the energy is coming from the formation of the Hypole. EH¯A likely to be of the order of magnitude of the energies that can be found close to the A nucleus, that is the s electrons energy E^sA.

A guesstimated value of k is thus:


 
In the case of Nickel and taking for E^sNi the average value 10.5 keV, the following guesstimated description of H¯Ni and NiH¯ Ni is obtained (Table 1):

Table 1


Properties of the Hypole

The hypole is a picometer size hydrogen-like object. It can only exist when embedded in the electronic cortege of an atom A, where its equilibrium position is very close to the nucleus of A. Its size and energy of formation depends upon A. In the case of Nickel, the size is some 2 picometer and the energy of formation round 10 keV. Hence the names and notations proposed.

The best way for characterizing an hypole, is to measure the mass of the corresponding A/pico-hydride. In the case of nickel, following masses are expected, that take into account the energy of formation (Table 2):

Table 2

The mass differences given by Table 2 could be easily detected using a high resolution TOF Mass Spectrometer on an acidic solution of the nickel pico-hydride (probably possible see below, chemical properties). SIMS TOF Mass Spectrometry is not adapted, since the primary ions energies are of the order of the energy of formation of the hypole. An ICP TOF Mass Spectrometer would be adapted.

As regards the chemical properties of NiH¯Ni, they should be close to the Nickel ones. The outer electronic layers of NiH¯Ni indeed see the positive charge of the nickel atom, the effect of the hypole H¯Ni being second order in that respect. A shift of the characteristic rays given by nickel in ICP-AOS could be observed.

Finally the radiations emitted during the hypole formation, would be photons in the 10 keV range, thus completely suppressed by the 2 cm layer of lead in the energy amplifier. Faint signals of higher energy photons (annihilation radiation) could anyhow be detected. They might be the signature of an inherent instability of the hypole and of the corresponding pico-hydride, which is discussed now.

Stability of the (nickel) hypole

The nickel hypole is a small object of picometer dimension and at picometer distance from the nickel nucleus. Its virtual neutron state may have a non zero probability to penetrate the nickel nucleus and react with it according to the neutron capture route developed in [6] and [1]. Most of the gamma photons resulting from the stabilization of the primary excited nickel nuclei are of energy higher than 1 MeV [1]. They mainly interact with the lead shield by producing electron/positron pairs, ultimately yielding the annihilation radiation. From the experimental observations, the rate of virtual neutron capture should be very low (some 10^-20 s^-1, in the experiment 2009(3-5/4-26) presented in [2]).

Conclusions

In this paper, a rough description is given, of a novel chemical interaction. Orders of magnitudes of the main characteristics of this still hypothetical interaction are given.

It is hoped that this approach will be of help when trying to understand the thermal results obtained with the energy amplifier.
Should the experimental results and their interpretation be true, pico-chemistry would become a reality.

References

[1] J. Dufour “Nuclear signatures to be expected from Rossi energy amplifier” Journal of nuclear physics May 6th 2010
[2] S. Focardi and A. Rossi “A new energy source from nuclear fusion” Journal of nuclear physics
[3] J. Dufour “Very sizeable increase of gravity at pico-meter distance: a novel working hypothesis to explain anomalous heat effects and apparent transmutations in certain metal hydrogen systems” J. of condensed matter nuclear science 1 (2007) p 47-61.
[4] R.L. Mills and W.R. Good “A unified theory derived from first principles” Black light power, Inc. (1992)
[5] J. Dufour, D. Murat, X. Dufour and J. Foos “Experimental observation of nuclear reactions in palladium and uranium: possible explanation by the hydrex mode” Fusion Science and Technology Vol.40-July 2001- p.91-106
[6] L. Daddi “Virtual neutrons in orbital capture” Journal of nuclear physics March 18, 2010



US 2011005506
METHOD AND APPARATUS FOR CARRYING OUT NICKEL AND HYDROGEN EXOTHERMAL REACTION

2011-01-13
Inventor(s):     ROSSI ANDREA [IT] + (ROSSI ANDREA)
Classification: - international: F24J1/00- European: C01B3/00; C01B6/02; G21B3/00

Also published as: WO 2009125444 // IT MI20080629 // EP 2259998

Abstract -- A method and apparatus for carrying out highly efficient exothermal reaction between nickel and hydrogen atoms in a tube, preferably, though not necessary, a metal tube filled by a nickel powder and heated to a high temperature, preferably, though not necessary, from 150 to 5000 C are herein disclosed. In the inventive apparatus, hydrogen is injected into the metal tube containing a highly pressurized nickel powder having a pressure, preferably though not necessarily, from 2 to 20 bars.

BACKGROUND OF THE INVENTION

[0001] The present invention relates to a method and apparatus for carrying out nickel and hydrogen exothermal reactions, and has been stimulated by the well known requirement of finding energy sources alternative to fossil sources, to prevent atmospheric carbon dioxide contents from being unnecessarily increased.

[0002] For meeting the above need non polluting energy sources should be found which do not involve health risks, are economically competitive with respect to oil sources susceptible to be easily discovered and exploited and naturally abundant.

[0003] Many of the above alternative energy sources have already been explored and operatively tested even on an industrial scale, and comprise biomasses, solar energy used both for heating and photovoltaic electric generation purposes, aeolian energy, fuel materials of vegetable or agricultural nature, geothermal and sea wave energy and so on.

[0004] A possible alternative to natural oil, is the uranium-fission nuclear energy. However, yet unresolved problems affect nuclear energy such as great safety and waste material processing problems, since, as is well known, radioactive waste materials remain dangerously active for thousands or millions of years, with consequent great risks for persons living near radioactive waste disposal-off places.

[0005] To the above the fact should also be added that, at present, a nuclear fusion based on a laser actuated inertial confining method does not allow to make efficient power systems.

[0006] The above drawbacks are also true for deuterium-tritium fusion processes, as shown by the operating times estimated for the ITER project, which should within the year 2025 should allow to construct power systems according to the so-called DEMO project to make, within the year 2035, the first fusion power station.

[0007] In fact, up to now, the so-called "cold" fusion, after an early announcement by Fleischmann and Pons in 1989 (M. Fleischmann, M. Hawkins, S. Pons: Journal Electroanal. Chem., 261,301-1989), notwithstanding several exploiting attempts on a world-wise scale, has not provided useful and reliable systems capable of generating energy for normal, industrial or domestic applications.

[0008] The most intelligent work performed in the fusion field, which work has been accurately studied by the present inventor for practicing his invention, is a study of Prof. Sergio Focardi, (Dipartimento di Fisica dell'Univerità di Bologna), and Prof. Francesco Piantelli, (Dipartimento di Fisica dell'Università di Siena) as disclosed in the following bibliographic documents:

S. Focardi, F. Piantelli: Produzione di energia e reazioni nucleari in sistemi Ni-H a 400[deg.] C., Atti della Conferenza Nazionale sulla politica energetica in Italia, Università di Bologna, 18-19 aprile 2005.

S. Focardi, R. Habel, F. Piantelli: Anomalous heat production in Ni-H systems, Nuovo Cimento Vol. 107, pp 163-167, 1994

S. Focardi, V. Gabbiani, V. Montalbano, F. Piantelli, S. Veronesi: Large excess in heat production in Ni-H systems, Nuovo Cimento Vol. 111 A pp. 1233-1241, 1998

A. Battaglia, L. Daddi, S. Focardi, V. Gabbiani, V. Montalbano, F. Piantelli, P. G. Sona, S. Veronesi: Neutron emission in Ni-H systems, Nuovo Cimento Vol. 112 A pp 921-931, 1999

S. Focardi, V. Gabbiani, V. Montalbano. F. Piantelli, S. Veronesi: On the Ni-H systems, Asti Workshop in Hydrogeldeuterium loaded metals, pp 35-47, 1997

E. G. Campari, S. Focardi, V. Gabbiani, V. Montalbano. F. Piantelli, E. Porcu, E. Tosti, S. Veronesi: Ni-H systems, Proceedings of the 8thConference on Cold Fusion, pp 69-74, 2000.

[0015] The present inventor, moreover, has also accurately studies the following related patents: U.S. Pat. No. 6,236,225, U.S. Pat. No. 5,122,054, US-H466, U.S. Pat. No. 4,014,168, U.S. Pat. No. 5,552,155, U.S. Pat. No. 5,195,157, U.S. Pat. No. 4,782,303, U.S. Pat. No. 4,341,730, US-A-20010024789.

[0016] An analysis of the above mentioned references shows that:

[0017] 1-all experiments performed based on cold fusion have not permitted to generate power in such an amount to be reliably and constantly exploited in industrial applications;

[0018] 2-all the uranium based methods and systems have not up to now solved the problem of safely disposing of nuclear waste materials;

[0019] 3-all the nuclear fusion based methods and systems have not been shown as capable of generating significative amounts of energy while allowing the fusion process to be safely monitored;

[0020] 4-all the magnetic and inertial confining based methods and systems, such as the plasma fusion method, cannot be properly economically managed; and

[0021] 5-the catalyzed fusion of negative muons based methods and systems cannot be used because of the muon short life.

SUMMARY OF THE INVENTION

[0022] Accordingly, the aim of the present invention is to provide a method allowing to produce energy in an economic, convenient, reliable and repetitive manner, without generating radiations and radioactive waste materials.

[0023] Within the scope of the above mentioned aim, a main object of the invention is to provide such a method which can be carried out in small size systems, adapted to be easily controlled and allowing to heat individual places at an operating cost less than that of commercially available heating systems.

[0024] According to one aspect of the present invention, the above mentioned aim and objects, as well as yet other objects, which will become more apparent hereinafter, are achieved by a method and apparatus for carrying out a highly efficient exothermal reaction between nickel atoms and hydrogen atoms, in a tube, preferably, though not exclusively made of a metal, filled by a nickel powder and heated to a high temperature preferably, though not necessarily, from 150 to 500[deg.] C., by injecting hydrogen into said metal tube said nickel powder being pressurized, preferably, though not necessarily, to a pressure from 2 to 20 bars.

[0025] In applicant exothermal reaction the hydrogen nuclei, due to a high absorbing capability of nickel therefor, are compressed about the metal atom nuclei, while said high temperature generates internuclear percussions which are made stronger by the catalytic action of optional elements, thereby triggering a capture of a proton by the nickel powder, with a consequent transformation of nickel to copper and a beta+ decay of the latter to a nickel nucleus having a mass which is by an unit larger than that of the starting nickel.

[0026] The present inventor believes that in this reaction is possibly involved a capture of a proton by a nickel nucleus which is transformed into a copper nucleus with a consequent beta decay of the formed unstable copper (Cu 59-64) since the produced thermal energy is larger, as it will be thereinafter demonstrated, than the energy introduced by the electric resistance.

[0027] It is believed that the nickel nuclei are transformed to copper since the mass (energy) of the final status (copper isotope) is less than the overall mass (energy) of the starting status (nickel isotope+proton).

[0028] The exothermal reaction thereon Applicant's invention is based differs from those adopted by prior searchers since the inventor has not tried to demonstrate an emission of elementary particles supporting a validity of a theory, but he has exclusively tried to provide an amount of energy larger than the consumed energy amount, to just achieve a practical method and apparatus for generating an energy amount larger than the consumed energy, and this by exploiting nuclear energy generating processes starting from electrochemical energy.

[0029] Thus, the inventive apparatus has been specifically designed for producing the above mentioned energy in a reliable, easily controllable, safe, repeatable manner, for any desired applications.

[0030] In particular, the inventive apparatus is coated by boron layers and lead plates both for restraining noxious radiations and transforming them into energy, without generating residue radiations and radioactive materials.

[0031] In this connection it is pointed out that all prior attempts to generate like types of energy, have brought to small energy amounts generating prototypes not suitable for a safe industrial use, because of the theoretical nature of the performed searches.

SUMMARY OF THE INVENTION

[0032] Thus, the aim of the present invention is to provide an energy generating apparatus adapted to operate in a reliable and repeatable manner and including a plurality of series and parallel connectable apparatus modules, thereby generating an impressively high energy amount by so bombarding a nickel atom by a hydrogen atom, to provide a large atomic mass loss copper atom to be transformed into energy, based on the Einstein's equation, plus a beta decay energy of the radioactive copper atoms.

[0033] The following discussion may be considered as valid for some (radioactive) Cu isotopes, but not for the two stable copper isotopes (63Cu and 65Cu) which do not decay.

[0034] As the copper atom decays, an energy emitting positive beta decay occurs, according to the following equations:

[0000]
P=N+<e>++v,

[0000] where

[0000]
P=proton

[0000]
N=neutron

[0000]
E<+>=positron

[0000]
v=neutrino

[0035] The positron forms the electron antiparticle, and hence, as positrons impact against the nickel electrons, the electron-positron pairs are annihilated, thereby generating a huge amount of energy.

[0036] In fact, few grams of Ni and H would produce an energy amount equivalent to that of thousands oil tons, as it will become more apparent hereinafter, without pollutions, greenhouse effects, or carbon dioxide increases, nuclear and other waste materials, since the radioactive copper isotopes produced in the process will decay to stable nickel isotopes by beta+processes, in a very short time.

[0037] For clearly understanding the following detailed discussion of the apparatus, it is necessary to at first consider that for allowing nickel to be transformed into stable copper, it is necessary to respect the quantic laws. Accordingly, it is indispensable to use, for the above mentioned exothermal reactions, a nickel isotope having a mass number of 62, to allow it to transform into a stable copper isotope 62. All the other Ni isotopes, on the other hand, will generate unstable Cu, and, accordingly, a beta decay.

[0038] Considering that about 10<6 >tons nickel for year are produced through the world and since, as it will be disclosed hereinafter in Table 1, 1 g nickel would generate an energy amount equivalent to that produced by 517 tons oil, thus the yearly produced nickel amount, assuming that only 1/10,000 generates nuclear processes, will provide 1,000,000,000,000*517/10000=51,700,000,000 (oil equivalent) ton per year.

[0039] And this without considering the fact that the yearly nickel production could be easily increased, depending on demand, and that, like mineral oil, nickel can be recovered and remelted from nickel scraps of steelwork and electronic applications.

[0040] Actually, nickel is one of the most abundant metals of the Earth crust.

BRIEF DESCRIPTION OF THE DRAWINGS

[0041] Further characteristics and advantages of the present invention will become more apparent hereinafter from the following detailed disclosure of a preferred, though not exclusive, embodiment of the invention, which is illustrated, by way of an indicative, but not limitative, example, in the accompanying drawings, where:

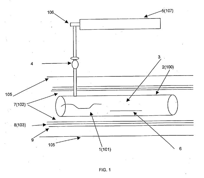
FIG. 1 is a constructional diagram of the apparatus according to the present invention;


FIG. 2 is a picture, taken by a 1.400* electronic microscope, showing the nickel powder (on a 1.400* scale), withdrawn by the apparatus;



FIGS. 3 and 4 are electronic microscope diagrams related to the powder atomic composition, at the two points shown by the arrows in FIG. 2.

 
DESCRIPTION OF THE PREFERRED EMBODIMENT

[0045] With reference to the number references of the above mentioned figures, the apparatus according to the present invention comprises an electric resistance 1, enclosed in a metal tube 2, further including therein a nickel powder 3.

[0046] A solenoid valve 4 adjusts the pressure under which hydrogen 5 is introduced into the metal tube.

[0047] Both the temperature generated by the electric resistance or resistor and the hydrogen injection pressure can be easily adjusted either to constant or pulsating values.

[0048] More specifically, the electric resistance, or other heat source, is switched off as the exothermal reaction generating energizing status is triggered. A thermostat will hold said heat source operating, depending on the temperature in the circuit.

[0049] The assembly comprising said electric resistance and nickel holding copper tube is shielded from the outer environment by using, respectively from the inside to the outside:

[0050] a) a jacket 7 including water and boron, or only boron

[0051] b) a further lead jacket 8, which, optionally, though not necessarily, may be coated by a steel layer 9.

[0052] The above mentioned coatings are so designed as to restrain all radiations emitted by the exothermal reaction and transform said radiation into thermal energy.

[0053] The heat generated by the particle decay and nuclear transformations will heat the primary fluid, comprising borated water, thereby said primary fluid, in turn, will exchange heat with the secondary circuit, in turn heated by said primary fluid and conveying the produced thermal energy to desired applications, such as electric power, heating, mechanical energy, and so on.

[0054] In the absence of a primary fluid, the fluid to be heated will exchange heat directly with the lead and steel jacket.

[0055] According to a further embodiment of the invention, the apparatus further comprises the following features.

[0056] Nickel is coated in a copper tube 100, including a heating electric resistance 101, adjusted and controlled by a controlling thermostat (not shown) adapted to switch off said resistance 101 as nickel is activated by hydrogen contained in a bottle 107.

[0057] A first steel-boron armored construction 102, coated by a second lead armored construction 103, protect both the copper tube, the hydrogen bottle connection assembly 106, and the hydrogen bottle or cylinder 107, thereby restraining radiations through the overall radiation life, allowing said radiations to be transformed into thermal energy.

[0058] On the outside of the lead armored construction, the copper reactor cooling water, circulates through a steel outer pipe assembly 105, and this conveyed to thermal energy using devices.

[0059] The above disclosed prototype can also be used as a heating module which, in a series and/or parallel coupling relationship with other like modules, will provide a basic core desired size and power heating systems.

[0060] A practical embodiment of the inventive apparatus, installed on Oct. 16, 2007, is at present perfectly operating 24 hours per day, and provides an amount of heat sufficient to heat the factory of the Company EON of via Carlo Ragazzi 18, at Bondeno (Province of Ferrara).

[0061] For better understanding the invention, the main components of the above mentioned apparatus have been schematically shown in Table 2.

[0062] The above mentioned apparatus, which has not been yet publicly disclosed, has demonstrated that, for a proper operation, the hydrogen injection must be carried out under a variable pressure.

[0063] The electric resistance temperature controlling thermostat has been designed to switch off said electric resistance after 3-4 hours of operation, thereby providing self-supplied system, continuously emitting thermal energy in an amount larger than that initially generated by said electric resistance, which mode of operation is actually achieved by an exothermal reaction.

[0064] As it will be shown in a detailed manner in the following Table 1, it is possible to calculate that, supposing a full transformation, a mole, that is 58 g nickel, generate the same amount of energy obtained by burning about 30,000 tons of oil.

[0065] FIGS. 2-5 show data measured on Jan. 30, 2008 which basically demonstrate that the invention actually provides a true nuclear cold fusion.

[0066] The photo of FIG. 2, (obtained by a 1.400* electronic microscope) shows the nickel powder on a 1.400* scale, as withdrawn from the apparatus: in particular said photo clearly shows the flake granules, greatly promoting an absorption of the hydrogen atoms by the nickel nuclei.

[0067] The two arrows in the figure show the two positions of the powder sample thereon the electronic microscope tests for detecting the powder atomic composition have been carried out.

[0068] The two graphs of FIGS. 3 and 4 have been made by the electronic microscope of Dipartimento di Fisica dell'Università di Bologna, under the supervision of Prof. Sergio Focardi, on Jan. 30, 2008, and are related to the powder atomic composition at the two above points of FIG. 2.

[0069] In particular, said graphs clearly show that zinc is formed, whereas zinc was not present in the nickel powder originally loaded into the apparatus said zinc being actually generated by a fusion of a nickel atom and two hydrogen atoms.

[0070] This demonstrates that, in addition to fusion, the inventive reaction also provides a nickel nucleus fission phenomenon generating lighter stable atoms.

[0071] Moreover, it has been found that, after having generated energy the used powders contained both copper and lighter than nickel atoms (such as sulphur, chlorine, potassium, calcium).

[0072] This demonstrate that, in addition to fusion, also a nickel nucleus fission phenomenon generating lighter stable atoms occurs.

[0073] It has been found that the invention fully achieves the intended aim and objects.

TABLE 1

[0074] Determining the energy produced by a nickel mol.

[0075] 1 nickel mol=58 g

[0076] Avogadro number 6.022*10<23 >mol<-1>=number of nickel atoms in 58 g nickel.

[0077] The energy generated in each hydrogen capture process has been evaluated (for each nickel isotope) from the difference between the initial mass (nickel+hydrogen) and the reaction end product mass.

[0078] A reasonable estimate, considering the different values for the different isotopes, is 10 MeV electron (a MeV corresponds to a million electron-volts and is the energy measuring unit, as conventionally used in nuclear physics).

[0079] Since 1 Mev is equivalent to a variation of mass of 1.78*10<-30 >kg, the mass variation corresponding to an energy emission of 10 Mev is 1.78*10<-29 >kg.

[0080] The mass loss corresponding to a transformation of an entire Ni mol can be calculated by multiplying the Avogadro number (6.022*10<23>) time the mass variation of the single reaction.

[0081] Thus is obtained (for 58 g Ni)

[0082] M=(6.022*10<23>)*1.7.8*10<-29 >kg=1.07*10<-5 >kg

[0083] From the Einstein equation we have

[0084] E=mc<2 >where c is the light speed c=3*10<8 >m/s.

[0085] Thus, by replacing:

[0086] J=1.07*10<-5>*(3*10<8>)<2>=9.63*10<11 >J which can be approximated to 0.3*10<9 >kcal (which can be approximated by defect to reserve).

[0087] This is an energy equivalent to about 30,000 ton oil considering a pci of 10,000 kcal/kg for mineral oil; thus, 58 g nickel will generate the same energy as that provided by 30,000 ton oil, that is 517 tons/gram.

TABLE 2

[0088] List of materials used for making prototypes for experimentally testing the inventive apparatus

[0089] Electric resistance: Frei, Brescia

[0090] Thermoadjuster: Pic 16-cod. 1705-Frei

[0091] Lead shields: Picchi Srl-Brugherio (Milan)

[0092] Hydrogen: Linde Gas Italia, Arluno (Milan)

[0093] Pressure reducer: Linde Gas Italia

[0094] Powder nickel: Gerli Metalli-Milan

[0095] Boron: Danilo Dell'Amore Srl-Bologna

[0096] Copper tube: Italchimici-Antezzate (Brescia)

[0097] Laser beam temperature measuring device: Raytheon, USA

[0098] Pressure gauge: Elaborazione-Dipartimento di Fisica-Università degli Studi di Bologna

[0099] Neutron measuring device: Elaborazione-Dipartimento di Fisica-Università degli Studi di Bologna

[0100] Chemical-physical analyses:-Dipartimento di Fisica-Università degli Studi Bologna.




Your Support Maintains this Service --

BUY

The Rex Research Civilization Kit

... It's Your Best Bet & Investment in Sustainable Humanity on Earth ...
Ensure & Enhance Your Survival & Genome Transmission ...
Everything @ rexresearch.com on a Thumb Drive or Download !

ORDER PAGE