
rexresearch.com
Wayang DANG, et al.
Oil-Water Separation Membrane
http://cen.acs.org/articles/93/web/2015/08/New-EasyClean-Membrane-Separates-Oil.html
New Easy-To-Clean Membrane Separates
Oil From Water
by Prachi Patel
TAKING A DIP --A plastic tube covered on the bottom with a new
self-cleaning, oil-separating membrane is immersed (left) into a
mixture of water with a 4-cm layer of red-dyed petroleum on top.
When the membrane reaches the water (center), water soaks the
membrane and rinses off any petroleum that might have stuck to
it. When the tube is lifted (right), it pulls out a 4-cm-layer
of petroleum.
A steel mesh with a novel self-cleaning coating can separate oil
and water, easily lifting oil from an oil-water mixture and
leaving the water behind (ACS Nano 2015, DOI:
10.1021/acsnano.5b03791). If the coated mesh gets contaminated
with oil, it can be simply rinsed off with water and reused. The
new membrane promises to be a practical technology to clean up oil
spills, its developers say.
Emergency responders typically fight oil spills by burning, using
booms and skimmers, or releasing chemical dispersants. Oil-water
separation membranes would be faster and more effective. Although
various types of membranes have been studied, they aren’t
practical yet, mainly because they are easily contaminated with
oil, which renders them useless, says Xiaokong Liu, a polymer
chemistry and surface science researcher at the University of
South Australia.
Oil-water separation membranes fall into two categories. One is a
water-repelling membrane that selectively lets oil seep through.
Over time, this type gets clogged with oil and loses its
effectiveness. The other, more common type of membrane loves water
and repels oil when it is already wet, preventing oil from
crossing. This type has to be completely wetted before it can be
used. If oil touches it when it’s dry or partially dry—which
happens easily in an oil-spill environmen t— it loses its
oil-water separation ability and must be cleaned using detergents.
Liu and his colleagues made a membrane of the second hydrophilic
type, but with a key improvement that makes it more practical:
Theirs can be quickly cleaned of oil contamination simply by water
rinsing, which also means it doesn’t need to be wetted carefully
before use.
http://cgi.cen.acs.org/cgi-bin/cen/trustedproxy.cgi?redirect=http://pubs.acs.org/doi/abs/10.1021/acsnano.5b03791?source=cen
http://pubs.acs.org/doi/abs/10.1021/acsnano.5b03791?source=cen
Cleaning of Oil Fouling with Water
Enabled by Zwitterionic Polyelectrolyte Coatings:
Overcoming the Imperative Challenge of Oil–Water Separation
Membranes
Ke He, Haoran Duan, George Y. Chen, Xiaokong Liu, Wensheng
Yang, Dayang Wang
Herein we report a self-cleaning coating derived from zwitterionic
poly(2-methacryloyloxylethyl phosphorylcholine) (PMPC) brushes
grafted on a solid substrate. The PMPC surface not only exhibits
complete oil repellency in a water-wetted state (i.e., underwater
superoleophobicity), but also allows effective cleaning of oil
fouled on dry surfaces by water alone. The PMPC surface was
compared with typical underwater superoleophobic surfaces realized
with the aid of surface roughening by applying hydrophilic
nanostructures and those realized by applying smooth hydrophilic
polyelectrolyte multilayers. We show that underwater
superoleophobicity of a surface is not sufficient to enable water
to clean up oil fouling on a dry surface, because the latter
circumstance demands the surface to be able to strongly bond water
not only in its pristine state but also in an oil-wetted state.
The PMPC surface is unique with its described self-cleaning
performance because the zwitterionic phosphorylcholine groups
exhibit exceptional binding affinity to water even when they are
already wetted by oil. Further, we show that applying this PMPC
coating onto steel meshes produces oil–water separation membranes
that are resilient to oil contamination with simply water rinsing.
Consequently, we provide an effective solution to the oil
contamination issue on the oil–water separation membranes, which
is an imperative challenge in this field. Thanks to the
self-cleaning effect of the PMPC surface, PMPC-coated steel meshes
can not only separate oil from oil–water mixtures in a
water-wetted state, but also can lift oil out from oil–water
mixtures even in a dry state, which is a very promising technology
for practical oil-spill remediation. In contrast, we show that oil
contamination on conventional hydrophilic oil–water separation
membranes would permanently induce the loss of oil–water
separation function, and thus they have to be always used in a
completely water-wetted state, which significantly restricts their
application in practice.
SUBSTRATES FOR OIL AND WATER SEPARATION
WO2015113106
Disclosed herein is an oil-water separation substrate comprising a
porous substrate and a coating formed from an epoxy functionalised
polyelectrolyte on said substrate.
TECHNICAL FIELD
[0002 ] The present invention relates to substrates, such as
membranes, that can be used to separate mixtures of oil and water,
to methods for preparing these substrates, and to methods for
separating oil and water mixtures using these substrates.
BACKGROUND
[0003 ] Contamination of water with oil is a constant problem in
natural environments as well as in industrial settings. As a
result, there is a need for effective methods for separating oil
from oil-water mixtures.
[0004 ] Oil and water mixtures can be separated using separation
tanks in which the oil is allowed to separate from the water
naturally and the oil is then removed from the water. However,
this method is time consuming, inefficient and not particularly
suitable for separations using large volumes. More commonly
nowadays efficient oil-water separation relies on cross-flow
filtration through hydrophobic (superhydrophobic) membranes which
allow oil to pass through the membrane whilst retaining water
above. However, as the density of oil is lower than that of water,
water naturally settles below the oil. Therefore, oil-water
separation through hydrophobic membranes of this type requires
high energy input. Recently, hydrophilic membranes which can
completely repel oil underwater have been used for oil water
separation driven only by gravity. However, these hydrophilic
membranes can only be used in a water- wetted state because the
hydrophilic membranes are easily contaminated by oil in when they
are in a dry state. Once a membrane has been contaminated with oil
in this way it cannot be used for oil water separation any more.
[00051 There is a need for oil-water separation substrates that
overcome one or more of the problems with known substrates and/or
provide an alternative to known substrates. SUMMARY
[0006] In a first aspect, provided herein is an oil-water
separation substrate, said substrate comprising a porous substrate
and a coating formed from an epoxy functionalised polyelectrolyte
on said substrate.
[0007] In certain embodiments, the oil-water separation substrate
is a mesh, fabric, sponge, foam or other nanoporous material. In
certain specific embodiments, the substrate is a water
purification membrane or filter.
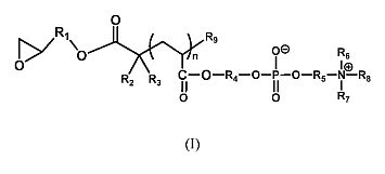
10008] In certain embodiments, the epoxy functionalised
polyelectrolyte is a poly(ammonium phosphate). In certain specific
embodiments, the epoxy functionalised polyelectrolyte has
structural formula (I):
<img class="EMIRef" id="289894517-imgf000003_0001" />
(I) wherein Rj , R4, and R5are each independently (<">-(%
alkyl;
R2and R3are each independently selected from the group consisting
of H and C i-C2alkyl; Re, R?, Rx are each independently Cj
-C2alkyl; and R9is selected from the group consisting of CI and
Br.
[0009] In certain embodiments, the coating formed from the epoxy
functionalised polyelectrolyte is cross linked. The coating formed
from the epoxy functionalised may be cross linked using a cross
linking agent. The cross linking agent may be a polyamine. The
polyamine may be a polyamine comprising more than three primary
amino groups. In certain embodiments, the polyamine is selected
from the group consisting of poly(allylamine), polyethylenimine
(branched), and polyv inyl amine). In certain specific
embodiments, the polyamine is poly(allylamine). The polyamine may
be coated onto the porous substrate w<r>ith the epoxy
functionalised polyelectrolyte or the epoxy functionalised
polyelectrolyte may be treated with the polyamine after the former
has been coated onto the porous substrate. The primary amine
groups of the polyamine react with the epoxy groups of the epoxy
functionalised polyelectrolyte to form a cross- linked composite.
[0010] In a second aspect, provided herein is an epoxy
functionalised polyelectrolyte having structural formula (I):
(I) wherein Rj , R4, and R5are each independently ( -( \ alkyl;
R2and R3are each independently selected from the group consisting
of H and Ci-C2alkyl; R6, R7, R are each independently Cj -C2alkyl;
and R9is selected from the group consisting of CI and Br.
[001 1 1 In a third aspect, provided herein is a coating
composition for coating a porous substrate to form an oil-water
separation substrate, the coating composition comprising an
aqueous mixture of an epoxy functionalised polyelectrolyte.
[0012] In certain embodiments of the third aspect, the coating
composition further comprises a cross linking agent. The cross
linking agent may be a polyamine. The polyamine may be a polyamine
comprising more than three primary amino groups. In specific
embodiments, the polyamine is selected from the group consisting
of poly(allylamine), polyethylenimine (branched), and poly(vinyl
amine).
[0013] In certain other embodiments of the third aspect, the epoxy
functionalised polyelectrolyte may be treated with the polyamine
after the former has been coated onto the porous substrate.
[0014] In a fourth aspect, provided herein is a method for forming
an oil-water separation substrate, the method comprising providing
a porous substrate and contacting the porous substrate with the
coating composition according to the third aspect under conditions
to form a coating formed from the epoxy functionalised
polyelectrolyte on said substrate.
[0015 ] In a fifth aspect, the present invention provides a method
for separating oil and water from an oil- water mixture, the
method comprising contacting the oil-water mixture with the
substrate of the first aspect of the invention under conditions to
separate at least some of the oil from the oil-water mixture.
BRIEF DESCRIPTION OF THE ACCOMPANYING FIGURES
[0016] Figure 1 shows X-ray photoelectron spectroscopy (XPS) wide
scans for a stainless steel mesh without (a) and with (b) an epoxy
functionalised PMPC coating. Inset of b: High-resolution spectra
for P 2p from the PMPC coated stainless steel mesh.
[0017] Figure 2 shows a time series of optical photos recorded
during the stainless steel meshes (aperture of 100 µ??) were
contaminated by Nile red labelled canola oil in air, and then were
immersed into water. The left sample is a piece of raw stainless
steel mesh and the right one is a piece of stainless steel mesh
coated with epoxy functionalised PMPC.
[0018] Figure 3 shows photographs showing: a. the epoxy
functionalised PMPC coated stainless steel mesh is wetted by
water; b. oil-water mixture was poured above the epoxy
functionalised PMPC coated mesh; c. the oil-water mixture is
separated.
[0019] Figure 4 shows a time series of optical photos recorded
during which stainless steel mesh covered plastic tubes were
immersed in an oil-water mixture to skim the oil out. It can be
observed that the epoxy functionalised PMPC coated mesh can
successfully skim the oil out from the oil-water mixture, but the
same result cannot be achieved with the raw mesh.
DESCRIPTION OF EMBODIMENTS
10020] The present invention, and embodiments thereof, will now be
described in more detail. However, before proceeding it is
important to note that various terms that will be used throughout
the specification have meanings that will be well understood by a
skilled addressee. However, for ease of reference, some of these
terms will now be defined.
[0024] As discussed, the present invention provides an oil-water
separation substrate, said substrate comprising a porous substrate
and a coating fonned from an epoxy functionalised polyelectrolyte
on said substrate.
[0025] As discussed previously, hydrophilic membranes are known
for use in separating oil from oil- water mixtures. However, these
membranes tend to be contaminated with oil in a dry state which
then renders them not fit for purpose. Advantageously, we have
found that the substrates of the present invention are
hydrophilic, oil-repellent underwater and self-cleaning which
means that oil contaminations on the substrate can simply be
washed away with water.
[0026] The substrates of the present invention are particularly
suitable for use in oil-water separations and for oil skimming
from oil-water mixtures. The fonner property is highly desirable
for remediating oil contaminated waters whilst the latter property
is highly desired for oil spill remediation.
[0027] Without intending to be bound by any specific theory, we
suggest that the functional groups of the polyelectrolyte, such as
the phosphate and ammonium groups of the epoxy functionalised
polyelectrolyte of formula (1), have a strong hydration ability
and this enables the surface of the substrate to strongly trap
water molecules. Even if the surface is contaminated by oil the
oil can be replaced by water. The coating can be used for
oil-water separation because it can be highly hydrated in water,
thus forming a dense water layer which can retain oil above the
water layer.
[0028] The porous substrate may be any flexible, rigid or
semi-rigid metal, plastic or ceramic material having pores of a
size sufficient to allow water to pass through. Advantageously, we
have found that the coating comprising the epoxy functionalised
polyelectrolyte can be formed on a range of substrate materials
and, indeed, its effectiveness as a coating is largely independent
of the material used in the substrate. By way of example only,
suitable metal substrates that can be used include iron, titanium,
aluminium, nickel, copper, and alloys of any of these metals such
as steel. The metal substrate may be in the form of a mesh,
fabric, sponge, foam or other porous material. Suitable plastic
substrates that can be used include polytetrafluoroethylenene
(Teflon), polyethylene, polypropylene (PP), polydimethylsiloxane
(PDMS), polystyrene (PS), poly(ether sulfone), polyacrylonitrile,
cellulose acetate, polyvinylidene fluoride, polysulfone,
polyamide, polyurethane,
poly(tetrafluoroethylene-co-hexafluoropropylene) (FEP),
poly(ethylene terephthalate) (PET), and poly(4-methyl- l -pentene)
(PMP). The plastic substrate may be in the form of a mesh, fabric,
sponge or foam.
10029] The substrate may be any suitable form, such as a membrane,
filter, film, boom, and the like. It can be any shape. In specific
embodiments, the porous substrate is in the form of a water
purification membrane or filter. In other embodiments, the porous
substrate is in the form of an elongate, flexible boom that can be
used to contain oil spills and/or skim oil from the surface of a
body of water. [0030] The average pore diameter of the substrate
may be in the range of about 50 nm to about 5 mm. For example, the
substrate may be a stainless steel mesh with apertures of about 25
µ??, about 50 µ?? or about 100 µ??.
[0031 ] The epoxy functionalised polyelectrolyte may be any
polyelectrolyte having one or more epoxy groups covalently bonded
thereto. In embodiments, the polyelectrolyte is a poly(ammonium
phosphate). In embodiments, the polyelectrolyte is a
poly(tetraalkyl ammonium phosphate).
[0032] In specific embodiments, the epoxy functionalised
polyelectrolyte has structural formula (I):
(I)
[0033] wherein R R4, and R5are each independently C1-C3 alkyl;
[0034] R2and R3are each independently selected from the group
consisting of H and C i-C2alkyl; [0035] R6, R7, R8are each
independently Cj-C2alkyl; and [0036] R9is selected from the group
consisting of CI and Br.
[0037] The C 1 -C3 alkyl group may be selected from the group
consisting of: -CH2-, -CH2CH2-, - CH2CH2CH2-, and -CH2(CH3)CH2-.
The Cj-C? alkyl group may be selected from the group consisting
of: -CH2-, and -CH2CH2-.
[0038] The term "a coating formed from an epoxy functionalised
polyelectrolyte" is used herein because the porous substrate is
coated with a coating composition comprising the epoxy
functionalised polyelectrolyte which may, in turn, react with
functional groups on the substrate. For example, the epoxy group
of the epoxy functionalised polyelectrolyte may react with hydroxy
or amino groups on the substrate and, therefore, after coating not
all of the molecules in the coating may be in the form of the
epoxy functionalised polyelectrolyte.
[0039] Optionally, the epoxy functionalised polyelectrolyte in the
coating may be cross linked using a cross linking agent. The cross
linking agent may be a multifunctional molecule having two or more
functional groups that are capable of reacting with functional
groups of the epoxy functionalised polyelectrolyte. In certain
embodiments, the cross linking agent is a polyamine and the
coating is formed from the epoxy fiinctionalised polyelectrolyte
and the polyamine. The polyamine may be a polyamine comprising
more than three primary amino groups. In embodiments, the
polyamine is selected from the group consisting of
poly(allylamine), polyethylenimine (branched), and poly(vinyl
amine). In specific embodiments, the polyamine is
poly(allylamine).
[0040] The epoxy functionalised polyelectrolyte may be cross
linked during coating of the porous substrate with the epoxy
functionalised polyelectrolyte or the epoxy functionalised
polyelectrolyte may be treated with the cross linking agent after
the former has been coated onto the porous substrate. For example,
the polyamine may be coated onto the porous substrate with the
epoxy functionalised polyelectrolyte or the epoxy functionalised
polyelectrolyte may be treated with the polyamine after the former
has been coated onto the porous substrate. The primary amine
groups of the polyamine react with the epoxy groups of the epoxy
functionalised polyelectrolyte to form a cross-linked composite.
Polyamines comprising more than three primary amino groups are
particularly suitable for this purpose. Polyamines that can be
used include poly(allylamine), polyethylenimine (branched), and
polyvinyl amine). Without intending to be bound by any specific
theory, we suggest that the polyamine facilitates the adhesion of
the epoxy functionalised polyelectrolyte onto the substrate and
improve the coating stability because the primary amine groups
react with the epoxy groups to cross link the epoxy functionalised
polyelectrolyte.
[0041 ] To coat the substrate, an aqueous coating composition
comprising the epoxy functionalised polyelectrolyte and polyamine
(if present) is formed. The concentration of the epoxy
functionalised polyelectrolyte in the aqueous coating composition
may be from about 0.05 mg/mL to about 500 mg/mL. The concentration
of the polyamine in the coating composition may be from about 0.01
mg/mL to about 100 mg/mL. In embodiments, the concentration of the
epoxy functionalised polyelectrolyte in the aqueous coating
composition is about 5 mg/mL and the concentration of the
polyamine in the coating composition (if present) is about 1
mg/mL. The mass ratio of epoxy functionalised polyelectrolyte to
polyamine in the coating composition may be in the range of 5000:
1 to 5: 1.
[0042] Optionally, the coating composition can contain solvents,
excipients and/or additives as required. Specifically, the coating
composition may contain conventional coating adjuvants, such as,
for example, tackifiers, pigments, extenders, emulsifiers,
crosslinkers, coalescing agents, buffers, neutralisers, thickeners
or rheology modifiers, humectants, wetting agents, biocides,
plasticisers, antifoaming agents, colorants, waxes, anti-oxidants,
and the like.
[0043 ] The present invention provides an epoxy functionalised
polyelectrolyte having structural formula (I):
(I) wherein R1 ;R4, and R5are each independently C 1-C3 alkyl;
R2and R3are each independently selected from the group consisting
of H and C i-C2alkyl;
R6, R7, R8are each independently C|-C2alkyl; and R9is selected
from the group consisting of CI and Br.
[0044] The present invention also provides a method for forming an
oil-water separation substrate, the method comprising providing a
porous substrate and contacting the porous substrate with a
coating composition comprising an epoxy functionalised
polyelectrolyte to form a coating formed from the epoxy
functionalised polyelectrolyte on said substrate.
[0045] The surface of the substrate may be contacted with the
coating composition by conventional application methods such as
dip coating, spin coating, spray coating, curtain coating, roller
coating, and the like. In embodiments, the surface of the
substrate is contacted with the aqueous coating composition by
dipping the substrate into the coating composition for a time and
at a temperature that results in adsorption of at least some of
the coating materials to the surface of the substrate.
[0046] In embodiments, the substrate is immersed in the coating
composition for a period of from about 1 hour to about 36 hours.
In specific embodiments, the immersion time is 24 hours. The
thickness of the coating that is deposited on the surface of the
substrate will depend, at least in part, on the l ength of time
the substrate is immersed in the coating composition. The
thickness may be between about 2 nm and about 1000 nm.
[0047] After removal from the coating composition the substrate is
typically dried, or allowed to dry, to form a film on the surface.
Typically, the solvent can be removed by dying the coating
composition at room temperature or at elevated temperature (e.g.
from about 5°C to about 95°C). The substrate can also be dried
using a stream of air or nitrogen or at reduced pressure, if
necessary.
[0048] The coating composition will normally be applied so as to
provide a substantially uniform application of the coating
composition onto the surface of the substrate and the formation of
a continuous layer on the substrate. However, it is also
contemplated that the coating composition can be applied so as to
form a discontinuous layer on the substrate. In other words, the
coating may cover the whole of the surface to which it is applied
or it may cover only part of the surface to which it is applied.
[0049] In embodiments, the substrate is a water purification
membrane or filter. Membranes of this type are typically made from
poly(ether sulfone), polyacrylonitrile or polyvinylidene fluoride
and are commonly used in water or wastewater filtration. We have
found that the coating described herein separates oil from oil
contaminated water that is passed through the membrane or filter.
Advantageously, the methods of the present invention provide a
relatively simple, and therefore inexpensive, way to separate oil
from water and can be used for a range of applications such as
remediation of oil contaminated industrial, domestic, municipal
water.
[0050] The substrates of the present invention could also be used
to separate two immiscible oils.
[0051 ] The present invention also provides a method for
separating oil and water from an oil-water mixture, the method
comprising contacting the oil-water mixture with the substrate of
the first aspect of the invention under conditions to separate at
least some of the oil from the oil-water mixture.
EXAMPLES
[0052] Example 1 - Synthesis of epoxy functionalised
poly[2-(methyloyloxy)ethylphosphorylcholine] (PMPC).
[0053] A 100 mL flask was charged with 2-methacryloyloxyethyl
phosphorylcholine (5 g, 16.96 mmol), 2,2'-bipyridine (61.7 mg, 0.4
mmol), glycidol 2-bromopropionate ( 104.5 mg, 0.5 mmol) and 10 mL
of methanol. The flask was then sealed and degassed using a
freeze-thaw method for 3 cycles. Subsequently, a catalyst
containing CuBr ( 10.1 mg, 0.070 mmol) and CuBr2(5.0 mg, 0.022
mmol) was added rapidly. After 3 cycles of degassing again, the
flask was charged with argon and incubated in a water bath at 30
°C for 12h. After reaction, the reaction mixture was diluted with
ethanol and then filtered with silica column using ethanol as
eluent to remove the residual CuBr2. The obtained ethanol solution
was then concentrated by rotary evaporation. The concentrated
ethanol solution was then precipitated by dropping it into a
tenfold excess of non-solvent tetrahydrofuran (TH F). The
precipitate was collected by centrifuge and dried in oven. [0054]
Example 2 - Preparation of a coating composition
[0055] A coating composition comprising an aqueous solution of the
epoxy functionalised PMCP was prepared by dissolving the epoxy
functionalised PMCP from Example 1 in water at a concentration of
5mg/mL.
100561 Example 3 - Preparation of an alternative coating
composition
[0057] A coating composition comprising an aqueous solution of the
epoxy functionalised PMCP and poly(allylamine) was prepared by
dissolving the epoxy functionalised PMCP from Example 1 in water
at a concentration of 5mg/mL and poly(allylkamine) (A/w~58000) at
a concentration of 1 mg/mL.
[0058] Example 4 - Preparation of coated stainless steel meshes
for oil-water separation
[0059] Stainless steel mesh with aperture of 100 µ?? was
successively cleaned by sonication in acetone, iso-propanol and
ethanol for 10 min for each step. The cleaned stainless steel mesh
was dried using N2and then immersed in the coating composition of
Example 2 for 24 h. The stainless steel mesh was then rinsed by
water and dried by N2.
[0060] Results - Surface composition of the PMPC coated
stainless steel mesh
[00611 In order to confirm the stainless steel mesh was
successfully coated with the PMPC
polyelectrolyte, X-ray photoelectron spectroscopy measurements
were employed to analyse the surface composition of the stainless
steel mesh before and after being coated with PMPC.
[0062] As shown in Figure 1 , after being coated with the epoxy
functionalised PMPC, the signal of Fe and Cr which are the typical
elements from stainless steel mesh cannot be detected, but
significant N and P which are from PMPC are detected, revealing
the stainless steel mesh is successfully coated with the PMPC
polyelectrolytes.
[0063] Results - Self-cleaning property of the epoxy
functionalised PMPC coated stainless steel mesh
[0064] The epoxy functionalised PMPC coated stainless steel meshes
exhibit excellent self-cleaning properties. Specifically, the oil
contamination on the meshes can be easily and completely washed
away by water without aid of any surfactant.
[0065] As shown in Figure 2, it can be observed that the two
samples can be contaminated by canola oil in air, but when they
were immersed into water, the oil would spread on the raw mesh
more aggressively, but in contrast, the oil on the epoxy
functionalised PMPC coated mesh completely detached from the mesh.
Therefore, the epoxy functionaliscd PMPC coated mesh exhibits
excellent self-cleaning properties which enables oil contamination
on the mesh to be washed away with water without the need for
detergents or other cleaning materials.
[0066] Results - Epoxy functionalised PMPC coated stainless
steel mesh used for oil-water separation
10067] As shown in Figure 2, the epoxy functionalised PMPC coated
stainless steel meshes exhibit perfect oil repellence in water.
Therefore, the epoxy functionalised PMPC coated stainless steel
meshes can be used for oil-water separation.
10068] As shown in Figure 3, it was observed that for the water
wetted epoxy functionalised PMPC coated stainless steel mesh only
permitted water to pass through and it retained the oil above.
This demonstrates that the epoxy functionalised PMPC coated
stainless steel mesh can be used for high efficient oil-water
separation.
[0069] Results - PMPC coated stainless steel mesh used for
skimming
[0070] By combining the self-cleaning property and the oil-water
separation ability of the epoxy functionalised PMPC coated
stainless steel mesh, the epoxy functionalised PMPC coated
stainless steel mesh can be used for oil skimming.
10071] As seen in Figure 4a, one end of a plastic tube was covered
by a piece of stainless steel mesh and fixed by a hollowed screw
cap, this setup is further used for oil skimming. In figures a, b
and c, there are two plastic tubes with one end covered by
stainless steel meshes. The left tube is covered by a piece of raw
stainless steel mesh, the right one is covered by a piece of epoxy
functionalised PMPC coated stainless steel mesh. The beaker
contains water-hexadecane mixtures, the hexadecane was stained by
oil red O. Figure a, b, c is a time series of optical photos
recorded during the stainless steel meshes coved plastic tubes
were immersed into the oil-water mixture to skim the oil out. It
can be observed that the epoxy functionalised PMPC coated mesh can
successfully skim the oil out from the oil-water mixture, but the
raw mesh can not.
[0072] Example 5 - Preparation of coated stainless steel meshes
for oil-water separation
10073 ] A coated stainless steel mesh with aperture of 100 µ?? can
be prepared using the coating composition of Example 3 and the
coating method described in Example 4.
[0074] It will be appreciated by persons skilled in the art that
numerous variations and/or modifications may be made to the
invention as shown in the specific embodiments without departing
from the spirit or scope of the invention as broadly described.
The present embodiments are, therefore, to be considered in all
respects as illustrative and not restrictive.
[0075] Throughout this specification the word "comprise", or
variations such as "comprises" or "comprising", will be understood
to imply the inclusion of a stated element, integer or step, or
group of elements, integers or steps, but not the exclusion of any
other element, integer or step, or group of elements, integers or
steps.
[0076] All publications mentioned in this specification are herein
incorporated by reference. Any discussion of documents, acts,
materials, devices, articles or the like which has been included
in the present specification is solely for the purpose of
providing a context for the present invention. It is not to be
taken as an admission that any or all of these matters form part
of the prior art base or were common general knowledge in the
field relevant to the present invention as it existed in Australia
or elsewhere before the priority date of each claim of this
application.